基于IPC的SMT表贴器件PCB 封装设计
摘要
为解决在PCB 设计过程中可制造性和产品性能之间折中考虑的问题,依据IPC-7351B 标准,对表贴器件PCB 封装进行设计。结合IPC-7351B 标准、可制造性和可靠性等要求,通过对标准封装的SMD 焊盘尺寸及引脚参数计算,设置SMD 焊盘阻焊参数,设计出表面贴装器件PCB 封装。实践结果表明,该方法可提高产品的可焊性和可靠性。

引言
目前在PCB 设计过程中,由于产品小型化、高密度和可靠性等要求,导致很多时候需要在可制造性和产品性能之间折中考虑。在PCB 设计过程中,封装的设计是一个重要而又容易被忽视的过程,其设计质量直接影响后期器件装配以及产品质量。目前封装设计的标准很多,有国际标准、国军标和企标等, 必须采用统一的设计标准指导设计。IPC-7351B 是IPC(国际电子工业协会)制定的表面贴装设计和焊盘图形标准通用要求,是国际通用的设计规范。该标准充分考虑了产品密度、环境和返修等因素。笔者结合IPC-7351B 标准、可制造性和可靠性等要求,对表面贴装器件PCB 封装设计进行了介绍和总结,同时结合CADENCE 设计软件对封装设计中其他参数进行了说明。
1 概述
1.1 PCB 封装设计的重要性
在PCB 设计的过程中,有时会出现如下问题:
1) 元器件与PCB 板焊盘规格不匹配,例如0603 规格的元器件贴装在0805 规格的焊盘上,或0805 规格的元器件贴装在0603 规格的焊盘上;
2) 同一规格的元器件有多种不同的封装设计,标准不统一;
3) PCB 封装所匹配的焊盘尺寸不符合规范的要求。
以上问题都是由于建库标准不统一和不规范给后期SMT 作业带来极大困扰甚至焊接不良,最终影响了产品质量和生产效率;因此,PCB封装的设计对SMT 产品的可制造性和寿命有很大的影响。
1.2 IPC-7351B 标准简介
IPC 是国际电子工业联接协会。IPC-7351B 是表面贴装设计和焊盘图形标准通用要求, 替代IPC-SM-782A 标准。IPC-7351B 从元器件密度、高冲击环境和对返修要求等变量对PCB 封装焊盘的设计给出了建议,并且IPC-7351B 将PCB 封装分为3 种类型。如图1 所示,用户可从3 种密度中选择适合自己产品的尺寸。
1) 密度等级A
最大焊盘伸出,适用于低元器件密度应用,典型的例子如便携/手持式或暴露在高冲击或震动环境中的产品。焊接结构是最坚固的,并且在需要的情况下很容易进行返修。人工焊接和机器焊接都可操作,且留有较大的裕量。
2) 密度等级B
中等焊盘伸出,适用于中等元件密度的产品,提供坚固的焊接结构。人工焊接和机器焊接都可以操作。
3) 密度等级C
最小焊盘伸出,适用于焊盘图形具有最小的焊接结构要求的微型器件,可实现最高的元件组装密度。适用于机器焊接,人工焊接较难。
2 表贴电子元器件封装设计
2.1 SMD 焊盘设计
2.1.1 标准封装的SMD 焊盘尺寸计算
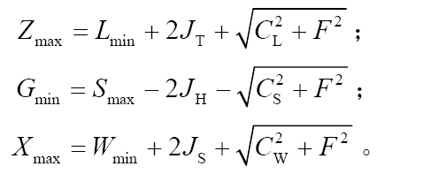
标准封装是指符合JEDEC、EIA等国际标准的封装,例如SOP、SOIC、TSSOP、TQFP 等。此封装形式的焊盘计算公式如下:
其中:Z 为封装两边焊盘最外沿的距离;G 为封装两边焊盘内沿的距离;X 为封装焊盘的宽度;L 为元器件两边引脚最外沿的距离;S 为表示元器件两边引脚内沿的距离;W 为元器件的引脚宽度;JT 为焊点外延(toe)的长度,即脚趾;JH 为焊点内沿(heel)的长度,即脚跟;JS 为焊点侧面(side)的长度,即脚侧;CL 为元器件的尺寸容限,L 的最大值与最小值的差值;CS 为元器件的尺寸容限,S 的最大值与最小值的差值;CW 为元器件的尺寸容限,W 的最大值与最小值的差值;F 为印制板加工时的公差;P为SMT 机器焊接时的公差。
图2 为公式中所涉及的参数。
图2 公式中所涉及的参数
计算公式中,各参数计算值规定如下:
1) L、S 和W 分别为元器件的各尺寸,通过元器件数据手册获得;
2) CL、CS 和CW 是元器件的尺寸容限,通过元器件数据手册获得;
3) F 和P 分别为印制板制造公差和元器件贴装公差,可根据用户的设备能力进行修改,一般可取F=0.1 mm(4 mil),P=0.1 mm(4 mil);
4) JT、JH 和JS 取值见IPC-7351B 标准中对于各种封装形式和各种密度等级的推荐值。其中,JT、JH 和JS 各参数在焊盘上的示意图如图3 所示。
图3 焊点的3 种形式
2.1.2 各种封装形式的引脚计算参数
在IPC-7351B 标准中,针对各种标准封装形式和3 种密度等级都有封装计算参数JT、JH 和JS 的荐,以及调节系数推荐等。根据产品的密度等级即可计算封装参数。例如:对于间距大于0.625 mm的扁平带状L 形引脚和欧翼形引脚的计算参数如表1 所示;J 形引脚的计算参数如表2 所示;BGA 器件引脚计算参数见表3 所示。
2.1.3 SMD 焊盘阻焊参数设置
焊盘阻焊的大小表明焊盘的开口尺寸,其大小一般是在焊盘尺寸的基础上外扩一个尺寸,外扩尺寸需要根据生产厂家的工艺能力确定。一般建议设置为:在焊盘尺寸的基础上扩大6 mil,非金属化孔的阻焊与钻孔尺寸一致。
对于高密度器件,一般指焊盘间距小于0.5 mm时,在制作封装过程中会出现焊盘的阻焊重叠,也就导致没有阻焊桥。这种情况下,一般采取2 种方式处理:
1) 第1 种采用的是不要阻焊桥的方式,即焊盘全开窗。
2) 第2 种调整阻焊的尺寸。如图4 中,D 为两相邻引脚焊盘的中心距离,R 为焊盘半径,S 为阻焊单边开窗的尺寸,G 为阻焊桥宽度。阻焊尺寸应满足以下计算公式:
G=D-2R-2S≥3 mil。
图4 焊盘的阻焊层参数设置
2.2 PCB 封装设计
2.2.1 坐标原点
SMD 器件的PCB 封装坐标原点(0,0)点放置在SMD 器件的几何中心,这有利于后期装配机器的识别。
2.2.2 丝印层
封装丝印层主要用来在PCB 板上表示器件实体大小范围,以及PCB 上器件的SMT 装配时作为器件定位的参考。结合CADENCE 设计软件和生产厂家常规加工能力,SMD 器件PCB 封装丝印层设计有一些特殊考虑,当然根据生产工艺,参数可以调整。
1) 丝印层线段的线宽一般采用5 mil。
2) 丝印层外框不允许压焊盘,一般要求离焊盘的距离≥10 mil。
3) 丝印层需要画出器件的1 脚标识,可以采用空心圆,推荐线宽5 mil,半径20 mil,以便于加工和后期PCB 板的查看,同时空心圆不能与其他丝印重叠。
4) 有正负极性的器件,应明确标识器件的正极性或负极性,便于器件的装配识别。
2.2.3 器件实体范围大小
PCB 封装建立时, 封装区域的大小在CADENCE 软件中可以作为器件布局DRC 检查项。封装区域大小可以考虑由2 项组成,包括封装最大外围尺寸和焊接工艺要求的器件间距一起组成封装区域。表4 为常用焊接工艺要求的器件间距推荐。如果在PCB 设计中,封装区域有干涉软件自动进行报错提醒。
3 结束语
在PCB 封装设计过程中,只要综合考虑环境条件、产品性能、密度等级、产品可制造性良好等情况,遵循芯片设计手册的规定,并参考IPC-7351B标准,就一定能设计出满足产品性能要求的可制造性良好的PCB 封装。笔者所在单位采用IPC-7351B标准里的密度等级A 建立元器件封装库,进一步提高了产品可靠性。实践结果证明:该方法切实可行,提高了产品的可焊性和可靠性。





























